اسئلة الامتحانات التمهيدية لصف الثالث المتوسط في مادة الرياضيات لسنة 2025/2024
- اسم المادة : رياضيات .
- سنة الامتحان : 2025.
- اعداد : وزارة التربية اللجنة الدائمة للامتحانات الوزارية.
- الصف : ثالث متوسط .
- الدور : التمهيدي.
اهلاً بكم في موقع ومدونة احمد الداوودي في قسم اسئلة تمهيدي ثالث متوسط ..
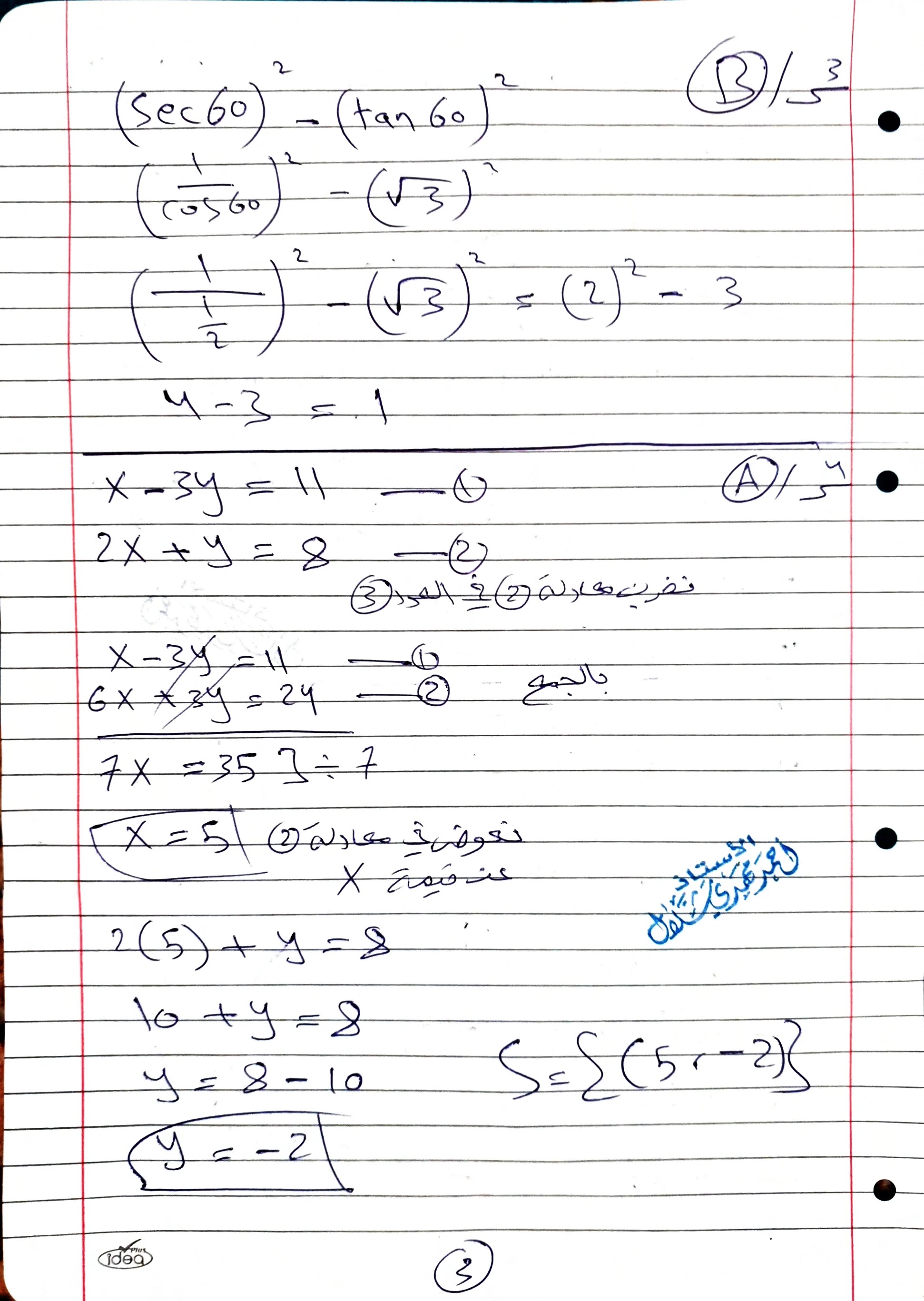
أسئلة امتحانات الرياضيات لصف الثالث متوسط في دور التمهيدي لعام 2025

حل اسئلة رياضيات ثالث متوسط تمهيدي 2025
الحلول للاستاذ المبدع : احمد مهدي شلال المهداوي
























